風速換算風量計算公式如下:
|
1.圓管(管內徑): 半徑(m) x 半徑(m) x π x 流速(m/s) x 小時(hr) (需將小時換算成秒 sec.) = m3/h 算法:(0.025*0.025*3.1415926)*60(m/s)*3600(1 hour
=3600s) =424 m3/h
DN50=50mm(直徑)、25mm(半徑)=0.025m |
2.方型管(管內徑): 邊長(m) x 邊長(m) x 流速(m/s) x 小時(hr)(需將小時換算成秒 sec.) = m3/h 算法:0.8*0.8*10*3600=23040 m3/h 以上計算公式忽略傳送器安裝時的安裝角度、深度、壓損問題 |
|
泵和液壓馬達的計算公式 : 體積流量 qv, 轉速 n, 排量 V |
|
以下等式定義了三者的相互關係:qv = n * V
泄漏量通過容積效率 ηv 來計算。在液壓泵和液壓馬達的計算中, 必需考慮容積效率。計算中所用的簡化公式如下:
液壓泵的體積流量:
壓力 p, 轉矩
M, 排量 V
功率 P, 壓力
p, 體積流量 qv
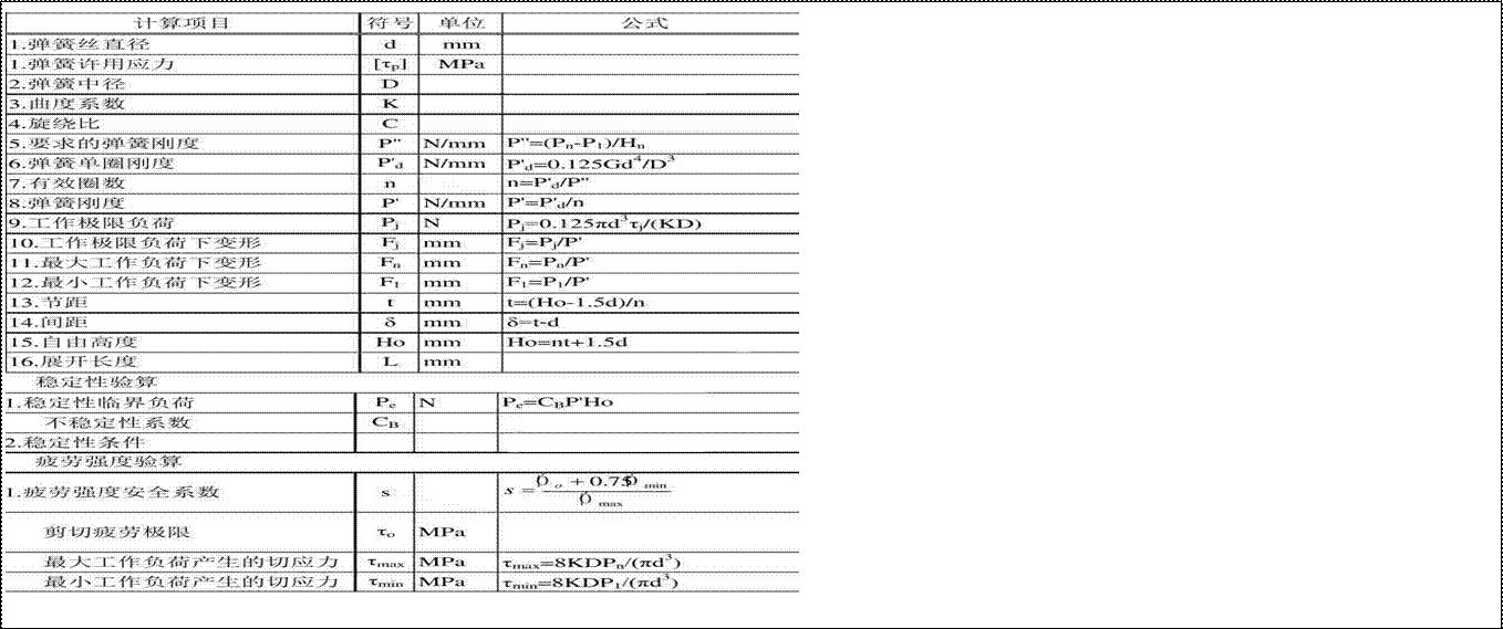
压缩弹簧计算公式-圆柱螺旋压缩弹簧设计计算
压缩弹簧计算公式:其中包含了很多弹簧弹力公式、弹簧计算公式、弹簧刚度计算公式、弹簧长度计算公式在里面,可以轻松实现弹簧弹力计算、弹簧设计计算、弹簧刚度计算等。
|
|
|||||
|
c |
= |
弹簧指数(c=D/d; c=D/b)
[-] |
F0 =内应力[N, lb] |
L0 = 弹簧自由长度[mm, in] |
s = 弹簧变形量[mm, in] |
|
b |
= |
线宽[mm, in] |
G = 剪切弹性模量[MPa, psi] |
LH = 弹簧挂钩高度[mm, in] |
Ψ= 形状系数 [-] (e.g. DIN 2090) |
|
d |
= |
线径[mm, in] |
h = 线高[mm, in] |
LK =有效截面长度[mm, in] |
t = 弹簧材料拉伸应力 [MPa, psi] |
|
D |
= |
弹簧中心直径[mm, in] |
k = 弹簧系数[N/mm, lb/in] |
n = 工作线圈数[-] |
t0 = 内应力 [MPa, psi] |
|
F |
= |
弹簧负载[N, lb] |
Ks = 曲线纠正因数[-] |
p = 线圈间距[mm, in] |
|
曲线纠正因数
线圈弯曲导致额外的线圈弯曲应力。因此计算使用校正因数来纠正压力。对于圆截面线圈弹簧,校正因数是由几个经验公式决定的。
计算使用以下的关系式: KS=1+0.5/C
对于方形截面弹簧,校正系数由来自适当的列线图的所给弹簧直径比 b/h 来决定的。计算中的校正系数已经包含了现状系数 Ø.压缩弹簧计算参数及公式表格

1. 理論值
10 公尺的高度約為 1kg/cm2 (1 Bar),這大約就是 3 層樓的高度簡單算法:1 層樓 * 0.3 約是您家的水壓
實際案例試算:大樓樓層 8F, 總樓高 14F
理論值:8F 至 14F = 6 層+頂樓水塔一層 = 7 層樓 7*0.3=2.1kg/cm2
靠近陽台進水管之室內水管實測值:2.0-2.1 kg/cm (進室內還會減少一點)
孔板差压流量计计算公式
流量计厂家讯:孔板是典型的差压式流量计,它结构简单,制造方便,在柳钢炼铁厂使用广泛,主要用于测量氧气、氮气、空气、蒸汽及煤气等流体流量。由于孔板的流入截面是突然变小的,而流出截面是突然扩张的,流体的流动速度( 情况) 在孔板前后发生了很大的变化,从而且在孔板前后形成了差压, 通过测量差压可以反映流体流量大小[1]。但是流量的计算是一个复杂的过程。炼铁厂以往仅仅是通过开方器对孔板前后差压进行开方,然后乘以设计最大流量从而获得实际流量值,如公式(1)所示。

其实这种方法并不能真实反映准确流量,特别是在压力、温度波动( 变化) 较大的时候,测量出来的流量和真实流量相差较大。所以,流量的计算还需要
增加温度、压力补偿。在孔板通用公式中,增加压力、温度补偿的流量计算公式关键是对介质在工况下的密度进行处理,此外还需要孔板设计说明书上的流量系数、孔板开孔直径、膨胀系数、工况密度等参数,公式比较复杂;笔者经过大量的数据统计获得的简易公式则简单得多,只要有孔板的设计最大流量、设计差压和设计压力,即可准确获得实际流量值。
1 孔板流量计计算公式:(2)
公式(2)中的介质工况密度 ρ 和温度、压力有关,根据克拉珀龙方程,有相同( 一定) 质量的气体在温度和压力发生变化时,有:
P1、T1、1 一般选择某一已知值,如标况下氮气压力 P1=101.15KPa,温度 T1=273K,密度 1=1.25kg/m3;或者根据流量计算书,令 P1= 工况压力,T1= 工
况温度,1= 工况密度。同时,K、d、ε、α 也可在流量计算书上找到相应值,然后将这几个已知值代入(8)式,公式即可化简为:

流量计厂家提醒该公式是通过将差压、压力、温度的实际值和设计值的比值来计算流量,公式简单明了,有利于记忆和检查。而且,在实际使用过程中,
计量准确,和通用公式计算出来的结果相比较,误差很小。
體積計算
r4*半
d-弓形際國互名
V一2-.211-2」印心2h
3
h-棗小藁度
杓-是大高
,-底面半在
`
2
,
``柑+与)+cL(I+ _)l
亟n
I-tlT(h+h)
h-弓形
3 • (4h+ri.) • 1.'7r(4h1+d)
2
y一-I
3
¢2h
h-琮缺的百
v-面%-_h)
3
「-底面半名
h-磁
I-母踐仕 C
,
,_ p;:;;i
,..Sl+
「-球缺半往
d-平切図冝邑
'...曲画面积
d2
s
鸝'..沅h·A一出)
4
`
v..=..(e+r2+3)
., S'-球缺表葡积.,
曰
R-闞球体乎均半色
D-回坏体子均半在
,.油(.i,. -h) dL·品@·-b)
V-L'R·「2一-l 記a12
因-如.
4
Rr-底面半笠
h-高 i-鼉·
3
'"
S1• td(R'+r)
,`+dR2+r"
-
_
d-圄商藪面冝名
「-酈璋截面半名,`
s-4m-•,2RT - f'l 2
4冗h.·
v.. 4 3 r.. d3
3 6
..O,立`
·3
s..如3..忒2.,

鬪 严
囝a
a .,
囝 I![]()
「l 巨
F"'a2
![]()
![]()
a...U-0.11d
![]()
![]()
d al,41如4.4l4存.,
F = a •b
梢i阿
形・'
lln·b-主軸r
IIF=(氾4) a·b.,
a i`b-4K泅皿辺战,
b
d =」a2 + b2 扇 金
「-半
s-孤卡;
F--I
'"`' 7
![]()
珈
•'
庫
h-高
,__I2璵
F.._bh""-aI
2 2
t.. a+b+C
`知-却訌A.!B,·四*.,
![]()
平
2 .' .![]()
![]()
![]()
![]()
![]()
![]()
bs.mC |「|| 。 ..,
111111 c II 「-半 弧伕 F...b· h =,o·bsmo 形.' 、 e-中心角 b-弦伝 '-F·o·薴耐 弓 onm r· 云![]()
![]()
![]()
![]()
![]()
![]()
![]()
![]()
![]()
`,4
a-孤s的対底中心指4
![]()
s=竺r
2 .,
`田
![]()
` b-梭辺
h-対辺向的距寓
一AC•SBUD.l
2
。 h-蓄i ` `-∼kF

R-球半在
n.r2!-底面半往
V-沽-(3R:臼4+的
b
h-康高
Sj,.. 2謳
h-球心0至帯底國心q的距宵C這汛4司).,
.. II II
![]()

![]()
![]()
![]()

,^'丨 II,`-幫
,d-対角縞
i
$-衰
D-中f鉬鬍画冝役
対于拋物紋形瘡体
![]()
v.. !!(2D2+Dd+.!d勺
i a
![]()
』名-俐衰蔔因

![]()
![]()
![]()
d-底缢
l5 4
![]()
![]()
J--這合三角形的面积
刀-鋇合三魚彩的介
O-磷底各対角鈛交至
`
,v.;.IF•h 3
s,.!l•f+F
g..n+'
d1,d2-対角
c-対免鑂夹角
d
F·4(1',祏)
2
-华s加:
2
凡5-两乎行思酗蔔
h-扆董繭噩冨
`--汨含搭碑面
`一組含梯形 .,
.1

R-外半各
「-內半痘
y..1`R+5t氝)
3
s-叩+5+8
s1..an
`
v-trR•1 h
s..筮.h+21l'R,
SI..2dR·h
空心立圜柱:
r-成疤-,勺-硒fh
I'一:-仝

,-踞-叩
di, d2 -対角綫
a-迏a-角
c..AB
AF..OD
F.. n Rn2 sm2a
-
2
![]()
_
F..dtmo.. d1"2
2
a+b

S已屎R+rM+2II'{R'-7'勺
s1-2成R+r)
a"'CD'(上) b..AB(下底辺)
F'
..
2 壘h .,
![]()
# h-=
![]()

PE 给水管流量计算对照表
PE 给水管流量计算对照表

PE 管径与流速、流量的计算方法 一般工程上计算时,PE 给水水管路,压力常见为 0.1--0.6MPa,水在水管中流速在 1∼3 米/秒,常 取 1.5 米/秒。流
量=管截面积×流速 =0.002827×管径^2×流速 (立方米/小时) 水压在 0.2mpa ,流量是 15 立方每小时,要用的管径是多少 0.2Mpa 的水压全部转换为动能,速度为 20m/s,体积流量为 15 m^3/h ,可换算为 0.0042 m^3/s,则管道面积为: 0.0042 / 20 = 0.00021 m^2 =210 mm^2,管路直径为 16.3mm,考虑到压力损失,选择 20mm 的管路就差不多了流量=流速流通面积。而根据管道水流量计算公式 Q=(H/sL)1/2 流量与管道长度存在关系,请问怎么理解?流量=流速过流面积 根据管道水流量计算公式 Q=VXS V---液体流动的流速 S---过流断面的面积 L---是流量的单位为每秒升 流量与管道长度不存在关系。它指的是单位时间内通过某一断面液体的数量,与长度没有关系